Fator R: Como Funciona, Como Calcular e Estratégias para Reduzir sua Carga Tributária.
- Com você, scala
- 21 de fev. de 2025
- 4 min de leitura
Atualizado: 24 de set. de 2025

A gestão tributária é um dos pilares para o sucesso financeiro de qualquer empresa. Para negócios enquadrados no Simples Nacional, entender a aplicação do Fator R pode significar uma grande economia de impostos. No entanto, muitos empresários desconhecem seu impacto e perdem oportunidades de otimizar sua carga tributária.
Neste artigo, explicaremos detalhadamente o que é o Fator R, como calculá-lo corretamente, os critérios para enquadramento nos anexos do Simples Nacional e as melhores estratégias para manter sua empresa na tributação mais vantajosa.
O que é o Fator R e Por Que Ele É Importante?
O Fator R é um coeficiente que define se uma empresa prestadora de serviços será tributada pelo Anexo III ou pelo Anexo V do Simples Nacional. Essa classificação pode impactar diretamente o percentual de impostos pagos.
Se o Fator R for igual ou superior a 28%, a empresa será tributada pelo Anexo III, com alíquotas iniciais a partir de 6%. Se for inferior a esse percentual, ela será enquadrada no Anexo V, onde as alíquotas podem iniciar em 15,5%, um aumento tributário significativo.
Dessa forma, entender o Fator R e saber como manipulá-lo de maneira legal pode representar uma grande vantagem competitiva para empresas do setor de serviços.
Entendendo os Anexos do Simples Nacional
O Simples Nacional divide as empresas em anexos, que determinam a forma de tributação de acordo com a atividade econômica exercida. Os anexos mais relevantes para empresas prestadoras de serviço são o Anexo III e o Anexo V:
Anexo III – Tributação Menos Onerosa
Este anexo aplica-se a empresas cuja atividade se enquadre na tabela correspondente e que tenham um Fator R igual ou superior a 28%. As alíquotas começam em 6% e podem chegar a 33%, dependendo da receita bruta anual da empresa.
Empresas que podem se enquadrar no Anexo III:
Escritórios de contabilidade
Empresas de tecnologia e desenvolvimento de software
Serviços de manutenção e instalação
Agências de publicidade
Anexo V – Tributação Mais Elevada
Caso a empresa tenha um Fator R inferior a 28%, ela será tributada pelo Anexo V, que possui alíquotas iniciais de 15,5% e pode chegar até 30,5%.
Exemplos de empresas que podem cair no Anexo V:
Empresas de consultoria
Serviços de engenharia e arquitetura
Assessorias e auditorias
Treinamentos e coaching
A principal diferença entre os dois anexos está na carga tributária. Se uma empresa consegue manter um Fator R acima de 28%, pode pagar menos impostos, garantindo maior competitividade e lucratividade.
Como Calcular o Fator R?
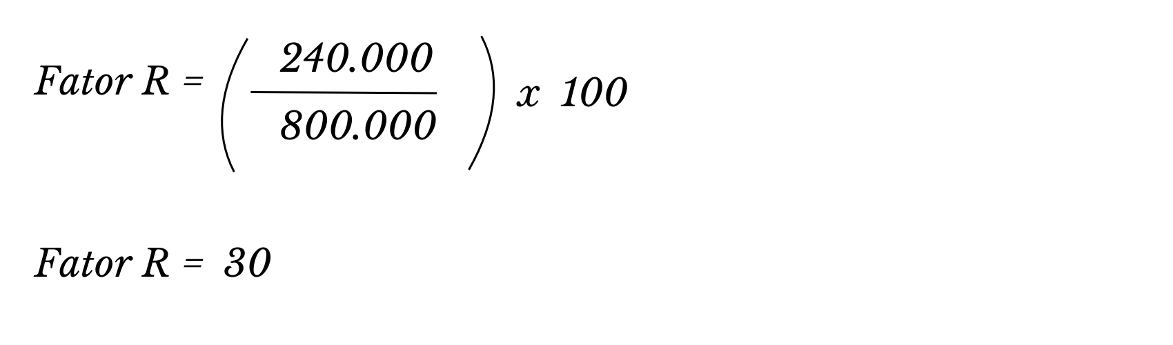
O cálculo do Fator R é relativamente simples, mas seu impacto é profundo. Ele é obtido pela seguinte fórmula:

Exemplo Prático
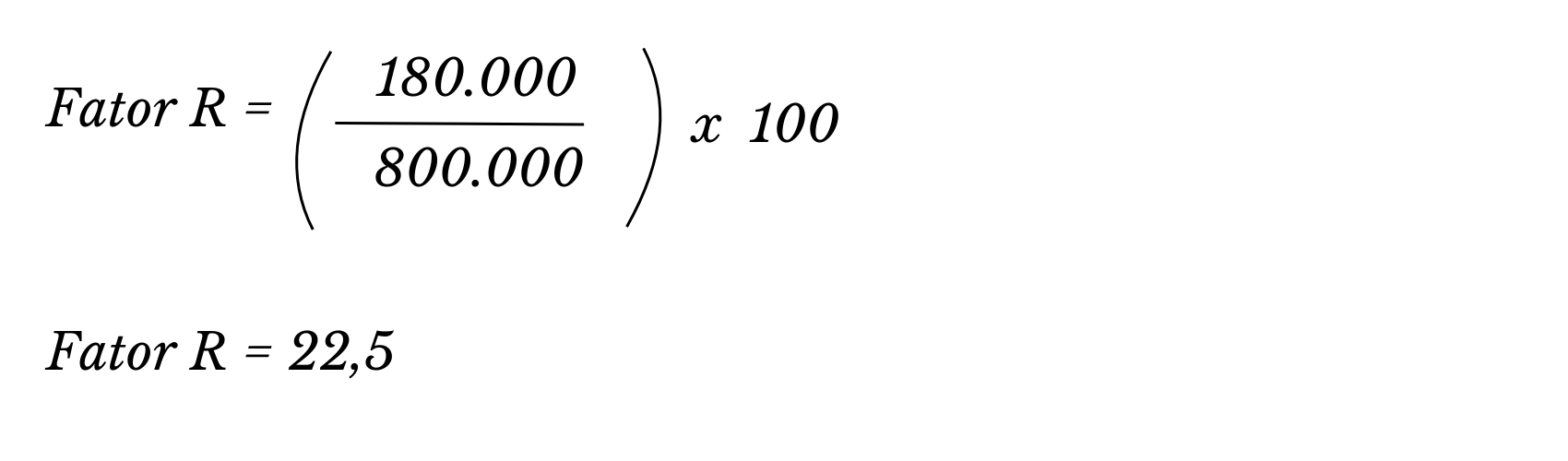
Suponha que uma empresa de consultoria faturou R$ 800.000,00 nos últimos 12 meses e teve um custo com folha de pagamento (salários, encargos e pró-labore) de R$ 240.000,00. O cálculo do Fator R será:

Como o resultado é superior a 28%, essa empresa será tributada pelo Anexo III, garantindo uma carga tributária menor.
Agora, imagine a mesma empresa com folha de pagamento de apenas R$ 180.000,00:

Nesse caso, ela será tributada pelo Anexo V, resultando em um custo tributário bem maior.
Impacto do Fator R na Carga Tributária
A diferença entre ser enquadrado no Anexo III e no Anexo V pode representar uma economia considerável. Para ilustrar melhor, veja a tabela abaixo:

Estratégias para Melhorar o Fator R e Pagar Menos Impostos
Existem várias estratégias que podem ser implementadas para aumentar o Fator R e garantir o enquadramento no Anexo III. Aqui estão algumas das principais:
1. Aumentar a Formalização da Mão de Obra
Empresas que contratam profissionais informais perdem a oportunidade de contabilizar esses valores na folha de pagamento. Contratar funcionários CLT ou formalizar o pró-labore dos sócios pode elevar o Fator R.
2. Estruturar a Distribuição de Lucros
Muitas empresas optam por distribuir lucros em vez de pagar salários ou pró-labores. Contudo, essa estratégia pode prejudicar o Fator R. Rever essa prática e aumentar a folha de pagamento dentro dos limites tributários aceitáveis pode ser vantajoso.
3. Planejamento Financeiro Inteligente
Projeções financeiras bem elaboradas podem garantir que a empresa mantenha um Fator R superior a 28% ao longo do tempo. Isso envolve controle de receitas, planejamento de contratações e análise de despesas.
4. Revisão Contábil Regular
O acompanhamento de um contador especializado pode garantir que todas as oportunidades de otimização tributária sejam aproveitadas. Uma revisão periódica da estrutura tributária evita surpresas e mantém a empresa sempre na melhor faixa de tributação.
Conclusão: O Fator R Como Aliado da Gestão Financeira
O Fator R é um mecanismo poderoso para reduzir a carga tributária de empresas prestadoras de serviço. Quando bem aplicado, pode representar uma economia significativa e contribuir para o crescimento sustentável do negócio.
Manter um controle rigoroso da folha de pagamento e da receita bruta, além de implementar estratégias inteligentes, é fundamental para se beneficiar do enquadramento mais vantajoso no Simples Nacional.
Se você quer otimizar sua tributação e garantir que sua empresa esteja sempre na melhor posição
fiscal. Clique aqui e conte com nossos especialistas para uma consultoria personalizada!



Comentários